Outsource Your Payroll to HROne! In-House Experts, Error-Free, & On-Time Payouts.

🚀 Book Your Free Demo Today!

Grapevine Communication – Importance and meaning

Updated on: 15th Apr 2024

6 mins read

Grapevine communication is informal and unofficial social exchange at the workplace. This interaction is unstructured and could have both negative and positive impacts on the culture of the workplace. 

What is Grapevine Communication? 

Grapevine communication meaning is rooted in the fact that it spreads across the workplace in all directions just like grapevine. It is informal corporate communication, prevalent at all levels of organisation, spreading the information related to new release, merger –acquisitions, appraisals, funding and more. 

Characteristics of Grapevine Communication 

Major characteristics of grapevine communication are- 

  • Uncertainty and unreliability of communicated information 
  • Quick and smooth channel to transfer knowledge from top to bottom of organisation 
  • Informal and oral technique of communication, involves less time in dissemination 
  • Unsaid information is transmitted through grapevine 
  • Contradicted and distorted message is transferred  

Types of Grapevine Communication 

Majorly there are three types of grapevine communication: 

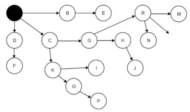
Single Strand Chain: Point-to-point communication 

Hrms Software Guides Hr Software
Grapevine Communication - Importance And Meaning - Hr Software

In single strand chain, information of any team member’s promotion transfers from one to another to another (A to B to C to further on)- longer the strand, more probability of distorted information 

Gossip Chain- Group Discussion 

In gossip chain, groups of employees sharing mutual interest interact and share information. 

Hrms Software Guides Hr Software
Grapevine Communication - Importance And Meaning - Hr Software

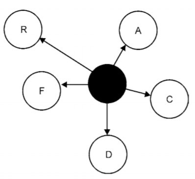
Probability Chain: Random Network 

Probability chain is a network where individuals randomly share the ‘similar’ message with each other, though source differs. 

Hrms Software Guides Hr Software
Grapevine Communication - Importance And Meaning - Hr Software

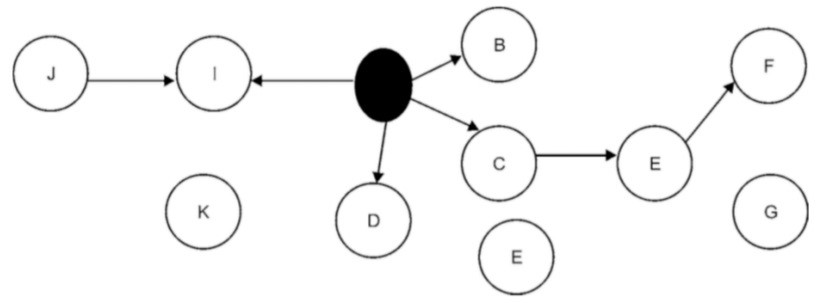
Cluster Chain: Selective Network 

Cluster chain is a network where one employee disseminates message to selected individuals and same information is further passed to selected employees. 

Hrms Software Guides Hr Software
Grapevine Communication - Importance And Meaning - Hr Software

What are Potential Advantages and Disadvantages Associated with Grapevine Communication? 

Advantages of grapevine communication are- 

  • Informal 
  • Flexible  
  • Spontaneous 
  • Non-hierarchical 
  • Strengthens workplace friendships 
  • Better communication and collaboration 

Disadvantages of grapevine communication are- 

  • Misleading information (rumors, gossips, false stories) 
  • Difficulty in management 
  • No formal records 
  • Non-trackable original source 
  • Un-restricted communication 

How does Grapevine Communication differ from Formal Communication Channels? 

Formal and grapevine communication are poles apart as- 

Formal Communication Grapevine Communication 
Structured Unstructured 
Based on set of commands Free flow in all directions 
Time consuming Less Time Taking 
Restricted scope No boundaries 
High level of secrecy No guaranteed secrecy 
Documentary evidence No documentation 

What are the Common Reasons for the Existence of Grapevine Communication in Organizations? 

Common reasons for grapevine communication could include- presence of informal and peer groups, people with talkative and gossiping attitude, misleading employees, vulnerability and uncertainty, urge to express every emotion and opinion and else depends on the culture of organisation. 

How does Grapevine Communication Impact Workplace Culture and Relationships? 

There are both positive and negative impacts on workplace culture and relationships. Let’s understand pointers by pointers: 

  • Make employees more aware of organization’s culture and help them decide what, how and why to behave in certain way 
  • Build sense of belongingness among employees and help them work like a team 
  • Give course to employees’ emotions and avoid boiling up, leading to more positive work environment 
  • Create an atmosphere of fear as employees always feel like, somebody is talking behind their back, leading to toxic culture 
  • Spread negativity as many a times employee distort or share corroded information with their peers- adding humiliation in workplace’s air 

How can Organizations Manage or Harness Grapevine Communication Effectively? 

Grapevine communication has more negative than positive impacts on organisation and its culture. So, HR professionals must take steps to manage this informal communication- 

Keep your employees ‘formally’ informed 

Strengthen the network of formal communication and keep your employees informed of every necessary happening, policies and regulations of organisation. 

When the communication network is strong, and employees start feeling that they are well-informed, their indulgence in grapevine communication will be less and their information will remain relevant and non-distorted. 

As an HR professional, you must prioritize the information needs of your employees and must have frequent face-to-face conversation with them to confirm if they are feeling informed or not. 

Authentic leadership to build trust among employees 

The AMA uncovered following findings on the role of grapevine communication in an organization.  

For example, when asked if employees would place “more credence in a speech from a company leader or in a message heard over the grapevine,” 47% of respondents chose the grapevine. 

On the other hand, when asked if they would believe a message delivered over the grapevine or what they hear directly from their direct supervisor, 74% of respondents chose their supervisor. 

By directing information through informal channels, you can affect what information is spread through the office. The study also showed that when leadership and grapevine messages were conflicting, 47% of people will believe the grapevine, 42% will believe senior management and the remaining 11% are undecided.” 

As per the above survey, one thing has been cleared that leaders or people at authoritative positions must build trust among their employees to avoid grapevine communication.  

Trust can be developed by being approachable, having an authentic voice, seeking feedback, suggesting opinions and being mentor or coach rather commander all the time. 

One-to-one conversation as routine exercise 

Employee engagement is necessary to reduce the scope of grapevine communication at your workplace. One of the significant exercises of employee engagement is one-to-one conversation with employees by delegating them time in advance so that they could be prepared for conversation. 

Sending internal communication emails, newsletters or making announcements might have less consumption rates. So, to make employees feel valued and heard, and minimise grapevine. 

Summing Up 

Grapevine communication can have both positive and negative impacts on an organisation. So, make sure as an HR professional you should have both an emotional and technical approach to deal with emotions and experience of your employees. 

Build your strategy, seek employees’ feedback and inspiration from your leaders! 

Make your HR Analytics fun and easy!

Learn how HROne HR Analytics software can help you automate HR Analytics & stay 100% compliant!

Get Free Trial

Download Now!

Try HROne For Free!

+91

By providing your information, you hereby consent to the HROne Cookie Policy and Privacy Policy.

By providing your information, you hereby consent to the HROne Cookie Policy and Privacy Policy.

G2 rating to HROne

1926+ Reviews | 4.8

Gartner rating to HROne

682+ Reviews | 4.8

Try HROne For Free!

+91

By providing your information, you hereby consent to the HROne Cookie Policy and Privacy Policy.

By providing your information, you hereby consent to the HROne Cookie Policy and Privacy Policy.

G2 rating to HROne

1926+ Reviews | 4.8

Gartner rating to HROne

682+ Reviews | 4.8